Ballastmodul

Ein Entnahmemodul entfernt die überschüssige Energie aus der Sammelleitung und führt sie als Wärme ab. Ein Ballastmodul besteht aus einem Chopper und einem Widerstand, siehe Abbildung unten. 

Überprüfen Sie bei Verwendung eines Ballastmoduls immer ob es mit dem angeschlossenen Gerät kompatibel ist. Ziehen Sie dazu die Handbücher und Datenblätter beider Geräte zu Rate – auch dann wenn keine Meldung in der Systemüberprüfung erscheint.

Wie Es Funktioniert und Ballast Typen

Wenn ein Motor bremst und seine Wechselrichter im Regenerationsmodus, so steigt die Spannung der Sammelleitung. Wenn die Spannung der Sammelleitung bis zu ihrer Schwellspannung steigt, wird der Zerhacker zur Entnahme der überschüssigen Energie tätig, um sicherzustellen, dass die Sammelleitungnspannung die Schwellspannung nicht übersteigt.

Zwei Ballast Typen werden in der Datenbank definiert, "Typ 0 = Chopper + Widerstände" and "Typ 1 = Nur Widerstände". "Typ 0 = Chopper + Widerstände" verbinden direkt an den DC-Bus. "Typ 1 = Nur Widerstände" sind für die Antriebe und Einspeisemodule, die eine interne Chopper, die an einen externen Widerstand verbunden haben.

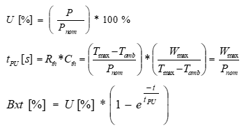
Der Leistungsfluss des Widerstands wird durch den Wirkungsgrad des Choppers proportional reduziert.

Hauptfenster
Ballast Berechnungs


Verwandte Themen