Getriebe Resonanzfrequenz

Manche Getriebetypen wie zum Beispiel "Wellgetriebe" sind anfällig für Resonanzfrequenzen.

Deshalb sollte das Getriebe den Bereich der Resonanzfrequenz schnell durchschreiten und nicht zu lange darin verweilen.

Im Programm gibt es zwei fest codierte Werte:

  1. Ein Frequenzband von ±5Hz um die Resonanzfrequenz
  2. Eine maximale Verweildauer im Resonanzband von 150ms ist erlaubt, bevor eine Warnung in der Systemprüfung angezeigt wird
An jeder Stelle der Sequenz wird eine Warnmeldung in der Systemprüfung ausgegeben, wenn das Getriebe länger als 150ms in dem Frequenzband von ±5Hz um die Resonanzfrequenz arbeitet.

 

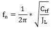
Die Formel für die Resonanzfrequenz fn, ist:

Die berechnete Resonanzfrequenz sollte den typischen Werten für die Anwendung entsprechen, wie sie in Empfohlene Resonanzfrequenzen für Getriebe erläutert sind.

Symbol Bedeutung Einheit

fn

Resonanzfrequenz

Hz

Ctf

Verdrehsteifigkeit des Getriebes

Nm/rad

JL

Trägheit der Last

kg-m2

Verwandte