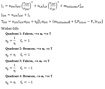
Vorschubwalze |
| Symbol | Bedeutung | Einheit |
|---|---|---|
| JDM | Trägheit des Antriebsmechanismus | kg-m2 |
| TDM | Drehmoment des Antriebsmechanismus | Nm |
| h | Wirkungsgrad des Antriebsmechanismus | 1 |
| FSchub | Schubkraft unter Last | N |
| Fv | Kraftvektor unter Last | N |
| mLoop | Gewicht Schlaufe | kg |
| g | Beschleunigung aufgrund von Schwerkraft = 9,81 | m/s2 |
| nAW | Anzahl der Antriebswalzen | |
| nDW | Anzahl der Druckwalzen | |
| nLR | Anzahl der Laufrollen | |
| JAW | Trägheit der Antriebswalze | kg-m2 |
| JDW | Trägheit der Druckwalze | kg-m2 |
| JLR | Trägheit der Laufrollen | kg-m2 |
| rAW | Radius der Antriebswalze | m |
| rDW | Radius der Druckwalze | m |
| rLR | Radius der Laufrollen | m |